Введение
Группа компаний CSoft уже много лет предлагает своим клиентам средства для автоматизации проектных работ. Эти решения не только облегчают работу проектировщиков, но и повышают качество выполняемых работ. Наша группа компаний постоянно проводит анализ рынка программного обеспечения и предлагает своим клиентам только лучшее. 2 апреля ГК CSoft объявила о заключении партнерского соглашения с компанией Bentley Systems, мировым лидером в области комплексных программных решений для поддержки жизненного цикла объектов инфраструктуры. Мы рады представить вам программный продукт компании Bentley Systems в области электротехнических решений — promis•e V8i.
Шаблоны и примеры блок-схем
Шаблон пустой блок-схемы
Блок-схемы позволяют любому специалисту — от менеджера по продажам до разработчика или дизайнера — наглядно представить тот или иной процесс, проект или набор идей в понятной форме. Предлагаем вам взять за основу наш шаблон пустой блок-схемы и настроить его в соответствии со своим проектом.

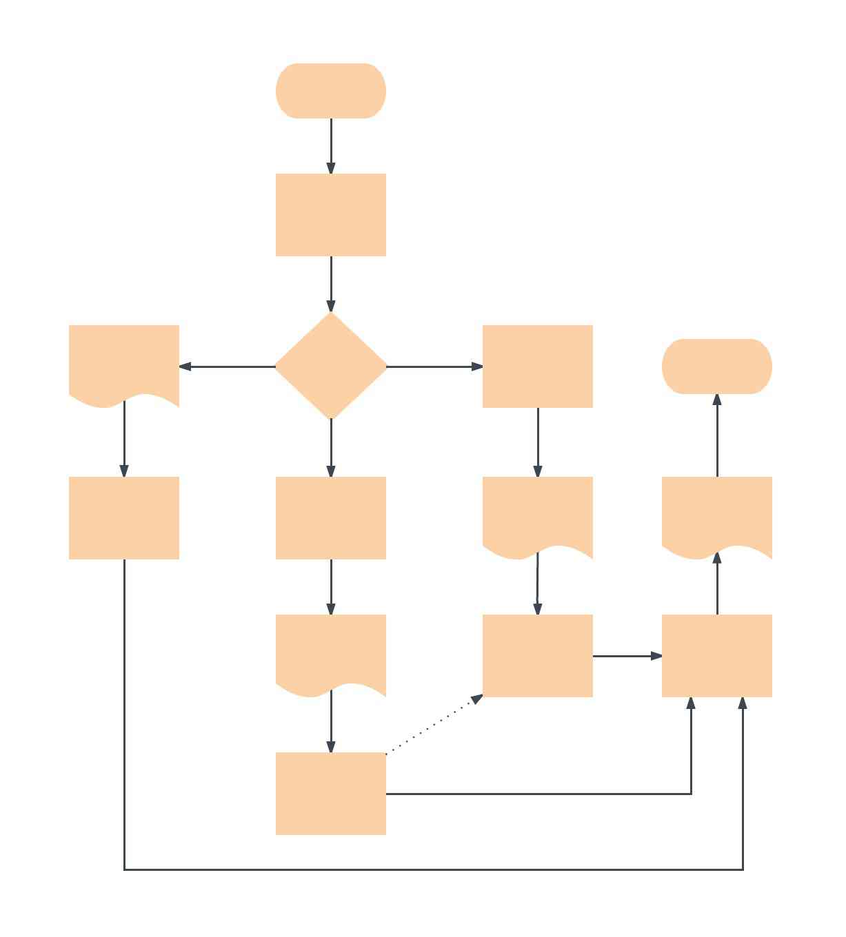
Шаблон блок-схемы для принятия решений
Если вы стоите на пороге принятия важного решения, попробуйте взвесить возможные последствия и сценарии с помощью нашего шаблона. Эта блок-схема позволит вам наглядно показать варианты развития любой ситуации и составить ясную картину доступных решений
Шаблон блок-схемы для сайта
Создание сайта требует огромной работы по планированию и организации. Используйте наш шаблон на начальном этапе разработки. С его помощью вы сможете наглядно спланировать структуру и глубину страниц всего сайта и ясно представить, как пользователи будут перемещаться по нему и какой контент необходимо подготовить.
Шаблон блок-схемы коммуникационного процесса
Чтобы обеспечить эффективную коммуникацию, важно четко представлять, кто вовлечен в процесс, какую должность занимает каждый участник и что ожидать дальше. На данном примере показаны различные участники коммуникационного процесса в рамках гипотетического сценария кризиса в системе здравоохранения
Просто настройте наш шаблон согласно своему проекту.

Шаблон блок-схемы производственного процесса
Этот обобщенный шаблон пригодится производителям товаров и услуг и станет отличной отправной точкой для создания схемы их собственного процесса или проекта. Настроив его согласно своим нуждам, вы сможете не только повысить эффективность своего текущего процесса, но и сэкономить массу времени.
Шаблон блок-схемы системы
Блок-схемы этого типа показывают движение информационного потока по конкретной системе, а также другие доступные варианты в зависимости от направления потока. К примеру, на данной блок-схеме показан порядок выполнения входа в систему новым пользователем. Чтобы схематично представить перемещение пользователя по своей системе и спланировать максимально удобный интерфейс, просто внесите необходимые коррективы в наш шаблон.
Шаблон блок-схемы программы
В тонкостях программирования легко запутаться, однако наша блок-схема поможет вам представить даже самую сложную систему так, что ее запросто поймут и те, кто с кодом на «вы». Просто внесите необходимые изменения в наш шаблон: сейчас на нем показаны возможности, которые необходимо запрограммировать разработчику.
Как рисовать схемы с помощью SmartArt
Схема в текстовый редактор добавляется вставкой в документ рисунока SmartArt. Для этого перейдите на вкладку «Вставка» и в группе «Иллюстрации» нажмите на кнопку «SmartArt» .
Появится вот такое окно. В нем нужно выбрать подходящий рисунок. Слева кликните по разделу, в примере «Иерархия» , и выберите один из предложенных рисунков. Справа область предпросмотра, посмотрите, как она выглядит, и для чего больше подойдет.
Теперь приступим к размещению блоков. Удалить ненужные можно, выделив его мышкой и нажав кнопку «Delete» . Уберите, таким образом, все лишние прямоугольники.
Дальше необходимо добавить блоки. Выделите тот, под которым нужно вставить дополнительные, и на вкладке «Работа с рисунками SmartArt» – «Конструктор» нажмите на кнопку «Добавить фигуру» , в списке кликните по пункту «Добавить фигуру ниже» .
После этого снова выделите верхний прямоугольник и добавьте еще один ниже. Здесь же Вы можете выбрать добавление нужного объекта выше выбранного блока, перед ним, или за ним.
После того, как Вы сделаете предыдущий пункт, нужно напечатать текст. Выделите область схемы и на вкладке «Работа с рисунками SmartArt» – «Конструктор» нажмите на кнопку «Область текста» . Или же на левой границе нажмите на кнопку с двумя маленькими стрелочками.
Откроется сбоку небольшое окошко. В нем нужно ввести текст для каждого из блоков. Здесь маркерами обозначены уровни, а кликнув напротив маркера можно посмотреть, куда будет вписан текст.
Напишите напротив каждого маркера, какой текст должен быть в каком объекте.
Когда все заполните окно для добавления текста можно закрыть, нажав в нем на крестик.
Теперь можно поработать над внешним видом самой схемы. Для этого выделите ее и перейдите на вкладку «Работа с рисунками SmartArt» – «Конструктор» . В группе «Стили SmartArt» можете выбрать любой другой стиль.
Также можно «Изменить цвета» схемы, кликнув по соответствующей кнопке.
Если Вам не сильно подошел выбранный вид, можете изменить его в соответствующей группе. Наведите курсор на любой из предложенных макетов, чтобы посмотреть, как будет выглядеть Ваша схема. Если этот макет подойдет больше, кликните по нему, чтобы выбрать.
Перейдя на вкладку «Работа с рисунками SmartArt» – «Формат» можно изменить любую фигуру или текст. Например, выделим фигуру, нажмем «Изменить фигуру» и кликнем по любой другой из предложенного списка. Для каждой можно изменить заливку, контур или добавить эффект.
Точно так же и для текста, выделите его и можно применить один из готовых стилей, изменить заливку, контур или добавить эффект.
В итоге, у меня получилась вот такая схема.
Изменение цветов блок-схемы
Чтобы быстро придать графическому элементу SmartArt профессиональный вид, можно изменить цвета блок-схемы или применить к ней стиль SmartArt. Вы также можете добавить эффекты, такие как свечение, сглаживание или объемные эффекты. Кроме того, в презентациях PowerPoint можно анимировать блок-схему.
Применение цветов темы
Щелкните графический элемент SmartArt, цвет которого нужно изменить.
На вкладке Конструктор в группе Стили SmartArt нажмите кнопку Изменить цвета.

Если вы не видите вкладку Конструктор, убедитесь, что выбрали графический элемент SmartArt.
Выберите нужную комбинацию цветов.

Совет: (ПРИМЕЧАНИЕ.) При наведении указателя мыши на эскиз можно просмотреть, как изменяются цвета в графическом элементе SmartArt.
Изменение цвета или стиля фона поля блок-схемы
В графическом элементе SmartArt щелкните правой кнопкой мыши фигуру, которую вы хотите изменить, и выберите пункт Формат фигуры.
Чтобы изменить стиль заливки, в области Формат фигуры щелкните стрелку рядом с заголовком Заливка, чтобы развернуть список, и выберите один из следующих вариантов:
Рисунок или текстура

Нажмите кнопку Цвет и выберите цвет из коллекции.
Чтобы указать степень прозрачности фонового цвета, переместите ползунок Прозрачность или введите число в поле рядом с ним. Значение прозрачности можно изменять от 0 (полная непрозрачность, значение по умолчанию) до 100 % (полная прозрачность).
Изменение типа или цвета границы
В графическом элементе SmartArt щелкните правой кнопкой мыши фигуру, которую вы хотите изменить, и выберите пункт Формат фигуры.
Чтобы изменить цвет границы, в области Формат фигуры щелкните стрелку рядом с заголовком Линия, чтобы развернуть список, и выберите один из следующих вариантов:
«Нет линий», «Сплошная линия» или «Градиентная линия»
Прозрачность (используйте ползунок или введите процентное значение)
Ширина (в пикселях)
Бесплатные программы для черчения схем
Сейчас можно выделить несколько отличных программ для черчения схем на русском языке, они удобные в использовании и считаются оптимальными. Конечно, с некоторыми придется повозиться во время установки, ведь в этот список мы включили программы, которые можно скачать, но их нужно «Ломать», есть и те, кто дают пробную версию на месяц. Для рисования нескольких схем этого времени должно хватить. Итак, вот такой рейтинг программы для черчения электрических схем в доме и квартире мы для вас подготовили:
Компас электрик. Данная программа считается профессиональной, в ней есть собственная база данных, которая включает в себя различные наименования и номинала различных типов автоматики для релейной защиты, элементов цепи, низковольтных установок и т.д. Также есть и графические обозначения на схемах, так что, используя такую программу можно без проблем нарисовать простую и понятную схему. Узнайте, как защитить провода от грызунов.
Eagle(Easily Applicable Graphical Layout Editor) – такая программа полностью на английском языке, кряков нет, но разобраться можно, особых сложностей нет. Пакет позволяет рисовать однолинейные схемы и даже разрабатывать чертежи печатной платы. Если говорить за чертежи печатной платы, то программа может их составлять даже в автоматическом режиме
Если вам нужна простая версия, тогда обращайте внимание на Freeware, для домашнего использования – это лучший вариант.
«1-2-3 схема». Такая программа считается полностью бесплатной, скачать можно с официального сайта
Чертить схемы с помощью нее – это одно удовольствие. Простой и понятный интерфейс позволяет разобраться в ней за несколько минут. Есть и база данных, включающая в себя все основные элементы цепи, напоминала автоматов и т.д.
AutoCAD Electrician. Такую программу мы можем назвать самой «новороченой» и простой, ее устанавливать, мы рекомендуем. Ведь она подойдет для начинающих и профессиональных электриков, которые уже знают все тонкости. Интерфейс на русском языке, кряк без проблем можно скачать в интернете, есть и бесплатная версия (ограниченная).
Эльф. Программа для черчения электрических схем такого типа является функциональной. Конечно, название и интерфейс сразу пугает, но в результате она оказывается отличным помощником. С помощью нее можно нарисовать все схемы и просто рассчитать сечения кабеля по мощности и даже подобрать автоматические выключатели. Эльф бесплатный для скачивания.
Microsoft Visio. Программа считается отличной, однако есть серьезное но – скачать бесплатную версию не так просто, но если постараться «Кряки» найти можно в интернете. Такой графический редактор позволяет без особых усилий нарисовать все схемы и сразу распечатать их. Для домашнего использования такая программа подойдет лучше всего.
PTC Creo
Система 2D и 3D параметрического проектирования сложных изделий от компании PTC. САПР PTC Creo широко используется в самых разных областях проектирования.
Выгодные отличия системы от конкурирующих решений:
- Эффективная работа с большими и очень большими сборками
- Моделирование на основе истории и инструменты прямого моделирования
- Работа со сложными поверхностями
- Возможность масштабирования функциональности системы в зависимости от потребностей пользователя
- Разные представления единой, централизованной модели, разрабатываемой в системе
- Тесная интеграция с PLM-системой PTC Windchill.
Платные приложения
Dia — программа для начинающих, только для людей, входящих в область рисования электронных схем. Она нормально работает с системами от Windows и выше.
Интерфейс бесплатной программы для рисования схем ProfiCAD Профикад Принцип работы простой: в поле слева находим нужный элемент, перетягиваем его в нужное место схемы, поворачиваем в требуемое положение. На рисунке ниже представлен скриншот со списком категорий компонентов одной из библиотек, доступных проектировщику: Кроме встроенных элементов есть возможность вставлять свои рисунки, что еще больше расширяет возможности использования программы. Для домашнего пользования вполне подойдет и такой вариант. Электрики свободно смогут создавать здесь схемы и чертежи с помощью встроенных инструментов. Это устройство, основанное на вспышке, с некоторой схемой выборки и учебным пособием. ОБ этих программах и поговорим дальше. QElectroTech — программа для составления, просмотра и печати электросхем Язык приложения — английский, но для него имеется русская локализация.
Начальная настройка программы
Позволяет разрабатывать и моделировать аналоговые и цифровые схемы. Чем выше электрический ток по линии, тем быстрее точки движутся в направлении потока тока.
Нумерация элементов может быть проставлена автоматически, а может — вручную. Пользователь может создать в редакторе электрическую цепь и задать параметры для анализа. Профессионалам их функционала может быть недостаточно, но для создания схемы электроснабжения дома или квартиры, их функций и операций хватит с головой.
No more using LTSpice. Нумерация элементов может быть проставлена автоматически, а может — вручную. Как читать электрические схемы
Поддерживаемые расширения и настраиваемые параметры
Попробуйте её именно сегодня! Графический редактор от Майкрософт — Visio Для тех, кто имеет хоть небольшой опыт работы с продуктами Майкрософт, освоить работу в из графическом редакторе Visio Визио будет несложно.
Он был способным к моделированию. Это кросс-платформенная программа, и она работает на Mac и Windows.
Данный софт поддерживает не только работу в плоскости, но и позволяет создавать полноценные 3D-модели.
Вы можете изменить форматы по вашему желанию. Micro-Cap — одно из лучших приложений для моделирования электросети Программа позволяет установить зависимость параметров номиналов элементов от температурного режима, освещенности, частотных характеристик и т. Проверить операцию через симулятор электроцепи.
Платные приложения
Мы также рекомендуем пользователям поделиться своими отличными дизайнами в разделе электрических схем нашего сообщества. Встроенные примеры принципиальной электрической схемы Перед созданием схемы, многие люди хотят смотреть некоторе хорошие примеры. Он имеет очень простое и понятное устройство, так что через час-полтора работы вы будете уже свободно ориентироваться. Во втором редакторе создаются печатные платы.
Простой интерфейс Интерфейс пользователя достаточно простой и аккуратно организованный. Разработчикам не удалось повысить качество и увеличить графический интерфейс пользователя. Редактор реализован достаточно удобно.
Бесплатные
Редактор реализован достаточно удобно. Для использования различными специалистами графический редактор пополняется дополнительными модулями. Большое количество инструментов сформировано по группам и удобно настраивается под конкретные условия чертежа. Для редактирования изображений используется масштабирование, работа с окнами и слоями, перемещение, вставка разрывов, вращение, изменение отражения, наложение текста, цветовая палитра и другие функции и стили.
Что приятно, что можно легко менять масштаб — прокруткой колеса мышки. Здесь добавляются и редактируются компоненты.
Рисование электрических схем в программе Microsoft Word
Импорт блоков AutoCAD
Использование ранее созданных библиотек
Пошаговый процесс создания элементов позволяет повторно использовать блоки AutoCAD. Вы можете сопоставить существующие атрибуты блоков AutoCAD с атрибутами promis•e, что упрощает создание элементов.

Мастер создания элементов
Шаблон проводов
Функция позволяет быстро нарисовать сетку проводников, куда легко можно вставить элементы. На чертежах ANSI провода рисуются горизонтально, а на чертежах IEC — вертикально. При применении шаблона система попросит указать левый верхний и правый нижний концы схемы и расстояние между проводами. По умолчанию используется один дюйм для чертежа ANSI и пять миллиметров для чертежей IEC. По щелчку правой клавишей мыши или нажатию кнопки Ввод система автоматически нарисует сетку.

Шаблон проводов
Переходы проводов на другие листы схем
В типичном проекте провода часто переходят с одной страницы на другую. В promis•e вы можете установить логическую связь между этими проводами. Это осуществляется путем размещения указателя на провода. Существуют три типа указателей:
- парный — два указателя, указывающие друг на друга;
- группа типа «звезда» — группа указателей, указывающих на один главный указатель;
- группа с множественными указателями — группа указателей, каждый из которых указывает на другие указатели данной группы.

Переходы проводов на другие листы схем
Автоматическая нумерация проводов
Нумерация проводов может осуществляться тремя способами:
- для проекта — автоматическая нумерация проводов для всего проекта;
- для выбранных листов — автоматическая нумерация проводов для выбранных листов проекта;
- для выбранных объектов — автоматическая нумерация проводов в выбранных цепях. Система также позволяет вручную изменять обозначения проводов. Как при автоматической, так и при ручной нумерации программа следит, чтобы не было повторяющихся номеров.
Типы проводов
promis•e позволяет задавать каждому типу провода свой слой. При попытке соединения проводов, лежащих на разных слоях, программа сообщает о возможной ошибке.
Бесплатные программы
Предоставляются пользователю в безвозмездное использование на постоянной основе. Они работают на соответствующих лицензиях. Поэтому, прежде чем начать использовать графические редакторы, необходимо скачать лицензию. Из популярных можно отметить Freeware, Open Source, GNU GPL, Public domain, Ad-supported и Donationware.
Программа для электросхем
Первая, третья и четвертая программы не ограничены по функционалу и могут быть применены в любое время суток. Вторая частично ограничена по коммерческой составляющей. Пятый сервис функционален и удобен. Шестой предоставляется безвозмездно, но создатель предлагает добровольно пожертвовать средства.
Функции бесплатного сервиса
VISIO
Редактор, которым просто и удобно управлять. Он имеет богатый функциональный набор. Несмотря на то, что приложение создано для показа информации на пк, сделанный документ можно в любое время распечатать для удобства.
VISIO
«Компас Электрик»
Приложение, сконструированное АСКОНом, помогающее проектировать любое электрооборудование и прикладывать к нему кондукторскую документацию. Платное программное обеспечение, но бесплатное на протяжении 2 месяцев.
«Компас Электрик»
ProfilCAD
Автоматизированное ПО, сконструированное для профессиональных электромонтажников и проектировщиков. Приложение помогает создавать электротехнический чертеж, отталкиваясь от плана помещения.
ProfilCAD
QElectroTech
Простой удобный и бесплатный сервис, созданный для формирования практических с электронными схемами-чертежами. Обычный редактор без специальных реализованных функций.
QElectroTech
123D Circuits
Веб-сервис, созданный для формирования проектов. Имеет в себе функции, нацеленные на программирование оборудования, симуляцию и трудовой анализ. Типовой функциональный набор имеет только радио-компоненты с модулями системы ардуино.
123D Circuits
Microsoft Visio
Приложение, отличающееся от других автоматическим и ручным расчетом принципиальной и силовой электрической схемы. Имеет в себе расширительный комплект базовых элементов. Нет возможности создания и редактирования объектов, доступен только их просмотр и распечатка.
Microsoft Visio
KiCad
Комплекс, имеющий открытый код. Система для сквозного конструирования электрических схем. Нацелена на разработку принципиальной схемы.
KiCad
CadSoft Eagle
Программное обеспечение в виде комплексной среды, где можно создать как принципиальные схемы, так и макеты плат. Работать с ней можно в любом режиме. Приложение платное, но для ознакомления предоставляется бесплатно.
Обратите внимание! Имеет в связи с бесплатным использованием функциональные ограничения. К примеру, работать в редакторе можно с одним файлом. CadSoft Eagle
CadSoft Eagle
Рисование с помощью фигур
Создать рисунок произвольной формы, со скруглениями, пестрыми цветами с плавными переходами, оттенками и прочими деталями этим методом практически невозможно. Правда, зачастую столь серьезный подход и не требуется. Проще говоря, не выдвигайте к Word высокие требования — это не графический редактор.
Добавление области для рисования
1. Откройте документ, в котором нужно сделать рисунок, и перейдите во вкладку «Вставка».

2. В группе иллюстрации нажмите на кнопку «Фигуры».

3. В выпадающем меню с доступными фигурами выберите последний пункт: «Новое полотно».

4. На странице появится прямоугольная область, в которой и можно начать рисовать.

Если это необходимо, измените размеры поля для рисования. Для этого потяните в нужном направлении за один из маркеров, расположенных на его границе.
Автоматическая трассировка проводов
Трассировка по кратчайшему расстоянию
Трассировка проводов происходит после анализа электрических схем и определения местоположения устройства на монтажной панели. Программное обеспечение автоматически генерирует монтажную таблицу с указанием точной длины проводника, учитывая расположение каналов для прокладки проводов. Более того, функция кратчайшего расстояния позволит вам оптимизировать трассировку, что поможет уменьшить время монтажа и расход материала. Эта функция может быть весьма полезна для компаний, которые осуществляют самостоятельную сборку монтажных панелей.
Ручная трассировка проводов
Ручная трассировка проводов — простой, но мощный инструмент, позволяющий изменять существующий путь прокладки проводов между устройствами. Используя принудительную прокладку на стадии проектирования, вы можете указать свой путь прокладки проводов. Более того, эта функция поможет сэкономить время при монтаже, уменьшит количество ошибок при прокладке, а также расход материала. При использовании этого модуля совместно с функцией трассировки по кратчайшему расстоянию автоматически вычисляется длина проводов/кабелей.
Описание программы
Однако, среди бесплатных программ также найдутся хорошие альтернативы затратному варианту, и список данных программ я сохранил у себя в статье.
Вычерчивать электрические схемы можно любым доступным графическим редактором. К положительным моментам можно отнести наличие приличного количества уроков по работе с этой программой для рисования схем, причем на русском языке.
Нумерация элементов может проставляться в автоматическом или ручном режиме выбирается в настройках. Есть готовые элементы. В этом документе учитываются все параметры: размер участка, потребляемая энергия, пожелания заказчика, безопасность и многое другое.
Программа для электрических схем: для чего мне это необходимо? Готовая схема используется электриками как документ, на основании которого производятся монтажные работы.
Так что с освоением проблем не будет. Справочный материал, встроенный в программу, хорошо изложен и позволяет самостоятельно разобраться во всех возникающих вопросах. Хороша новость в том, что есть и бесплатная версия, как водится с урезанными возможностями меньшая библиотека, не более 50 элементов в схеме, сниженная скорость работы.
Размеры элементов стандартизованные, стыкуются один с другим без проблем. С помощью программы для электрических схем можно начинать строить точные чертежи, а потом хранить их в электронном виде или распечатывать. Полностью на русском языке.
Так же в sPlan есть библиотека достаточно богатая , которая содержит большое количество элементов, которые могут понадобиться. В этом документе учитываются все параметры: размер участка, потребляемая энергия, пожелания заказчика, безопасность и многое другое. Что приятно, что можно легко менять масштаб — прокруткой колеса мышки. Интерфейс программы САПР подогнан под привычный вид программ Windows, а ее размер составляет 15,54 мегабайта.
Настройки сохранятся и при следующем запуске уже не требуют повторного указания папки с библиотекой компонентов. Есть демоверсия с ограничениями.
DCACLab — онлайн симулятор электрических схем
Выберите город
А
Абакан
Адлер
Азов
Александров
Алексин
Альметьевск
Анапа
Ангарск
Анжеро-Судженск
Апатиты
Арзамас
Армавир
Арсеньев
Артем
Архангельск
Асбест
Астрахань
Ачинск
Б
Балаково
Балахна
Балашиха
Балашов
Барнаул
Батайск
Белгород
Белово
Белогорск
Белорецк
Белореченск
Бердск
Березники
Берёзовский
Бийск
Благовещенск
Бор
Борисоглебск
Братск
Брянск
Бугульма
Будённовск
Бузулук
В
Великие Луки
Великий Новгород
Верхняя Пышма
Видное
Владивосток
Владикавказ
Владимир
Волгоград
Волгодонск
Волжск
Волжский
Вологда
Вольск
Воркута
Воронеж
Воскресенск
Воткинск
Всеволожск
Выборг
Выкса
Вязьма
Г
Гатчина
Геленджик
Георгиевск
Глазов
Гойты
Горно-Алтайск
Грозный
Губкин
Гудермес
Гусь-Хрустальный
Д
Дзержинск
Димитровград
Дмитров
Долгопрудный
Домодедово
Донской
Дубна
Е
Евпатория
Егорьевск
Ейск
Екатеринбург
Елабуга
Елец
Ессентуки
Ж
Железногорск
Жигулёвск
Жуковский
З
Заречный
Заринск
Зеленодольск
Златоуст
И
Иваново
Ивантеевка
Ижевск
Иркутск
Искитим
Ишим
Ишимбай
Й
Йошкар-Ола
К
Казань
Калининград
Калуга
Каменск-Уральский
Каменск-Шахтинский
Камышин
Канск
Кемерово
Керчь
Кимры
Кинешма
Киров
Кирово-Чепецк
Кисловодск
Клин
Клинцы
Ковров
Когалым
Коломна
Комсомольск-на-Амуре
Копейск
Королёв
Кострома
Краснодар
Краснокамск
Краснотурьинск
Красноярск
Кропоткин
Крымск
Кстово
Кузнецк
Кумертау
Кунгур
Курган
Курск
Л
Лабинск
Лениногорск
Ленинск-Кузнецкий
Липецк
Лиски
Лобня
Лысьва
Лыткарино
Люберцы
М
Магнитогорск
Майкоп
Махачкала
Междуреченск
Мелеуз
Миасс
Минеральные Воды
Минусинск
Михайловка
Мичуринск
Москва
Мурманск
Муром
Мытищи
Н
Набережные Челны
Назарово
Назрань
Нальчик
Наро-Фоминск
Находка
Невинномысск
Нерюнгри
Нефтекамск
Нефтеюганск
Нижневартовск
Нижнекамск
Нижнеудинск
Нижний Новгород
Нижний Тагил
Новоалтайск
Новокузнецк
Новокуйбышевск
Новомосковск
Новороссийск
Новосибирск
Новотроицк
Новоуральск
Новочебоксарск
Новочеркасск
Новошахтинск
Новый Уренгой
Ногинск
Норильск
Ноябрьск
Нягань
О
Обнинск
Одинцово
Озерск
Октябрьский
Омск
Орел
Оренбург
Орехово-Зуево
Орск
П
Павлово
Павловский Посад
Пенза
Первоуральск
Пермь
Петрозаводск
Петропавловск-Камчатский
Подольск
Полевской
Прокопьевск
Псков
Пушкино
Пятигорск
Р
Раменское
Ревда
Реутов
Ржев
Ростов-на-Дону
Рубцовск
Рыбинск
Рязань
С
Салават
Салехард
Самара
Санкт-Петербург
Саранск
Сарапул
Саратов
Саров
Севастополь
Северодвинск
Северск
Сергиев Посад
Серов
Серпухов
Сертолово
Сибай
Симферополь
Славянск-на-Кубани
Смоленск
Соликамск
Солнечногорск
Сосновый Бор
Сочи
Ставрополь
Старый Оскол
Стерлитамак
Ступино
Сургут
Сызрань
Сыктывкар
Т
Таганрог
Тайшет
Тамбов
Тверь
Тимашевск
Тихорецк
Тобольск
Тольятти
Томск
Троицк
Туапсе
Туймазы
Тула
Тулун
Тюмень
У
Узловая
Улан-Удэ
Ульяновск
Усолье-Сибирское
Уссурийск
Усть-Илимск
Усть-Кут
Уфа
Ухта
Ф
Феодосия
Фрязино
Х
Хабаровск
Ханты-Мансийск
Химки
Ч
Чайковский
Чапаевск
Чебоксары
Челябинск
Черемхово
Череповец
Черкесск
Черногорск
Чехов
Чистополь
Чита
Ш
Шадринск
Шахты
Шуя
Щ
Щёлково
Э
Электросталь
Элиста
Энгельс
Ю
Южно-Сахалинск
Юрга
Я
Якутск
Ялта
Ярославль
Рекомендации по сборке электрощита
Выбрав необходимый по конструкции распределительный щит, можно переходить этапу проектирования и подбора соответствующей автоматики. При этом следует учесть и в дальнейшем придерживаться следующих рекомендаций:
- Щит должен заполняться в соответствии с проектной документации. Допустим, положено десять автоматов, счетчик и восемь УЗО. В таком случае характеристики приобретаемого электрощита должны позволять уместить данное количество блоков. Небольшой резерв приветствуется.
- В дальнейшем ориентировании по схеме поможет маркировка групп элементов бирками.
- Придерживайтесь цветового единства жил провода. Для фазных проводников предпочтительными цветамиявляются черный, коричневый и серый. Проводник заземления обычно имеет желто-зеленый цвет. Ноль (нейтраль) имеет синий или голубой цвет.
- На каждую из клемм клеммной колодки подключайте по одному проводу. Монтаж нескольких жил в одно гнездо ухудшит фиксацию и со временем контакт может пропасть.
- Для удобства подключения автоматики можно воспользоваться специальными шинами (гребенками).
https://youtube.com/watch?v=j_SMuDpVT0A
Обзор наиболее популярных
Разработчиками представлены платные и бесплатные версии программ. Бесплатные графические редакторы упрощенные, предоставляют доступ только к базовым функциям. Поэтому приложения устанавливают на компьютер или мобильное устройство для использования в бытовых целях, например, для проектирования электропроводки в частном доме, квартире.
Популярные программы – «Электрик» для ПК, «Мобильный электрик» для планшетов, смартфонов с интуитивно понятным интерфейсом. Обучение не занимает много времени.
«Электрик» является самой популярной программой для ПК.
Платные пакеты – коммерческие продукты с расширенными возможностями, дополнительными блоками, инструментами. Редакторы представлены в полном варианте, работают без ограничений. При расчетах погрешность минимальна. Автоматизированные системы рассчитаны на инженеров, а также опытных специалистов в области электроники.
Платные, на которые стоит потратиться
Если вам придется часто работать с программой для рисования схем, стоит рассмотреть некоторые платные версии. Чем они лучше? У них более широкий функционал, иногда более обширные библиотеки и более продуманный интерфейс.
Простая и удобная sPlan
Если вам не очень хочется разбираться с тонкостями работы с многоуровневыми программм, присмотритесь к пролукту sPlan. Он имеет очень простое и понятное устройство, так что через час-полтора работы вы будете уже свободно ориентироваться.
Как обычно в таких программах, необходима библиотека элементов, после первого пуска их надо подгрузить перед началом работы. В дальнейшем, если не будете переносить библиотеку в другое место, настройка не нужна — старый путь к ней используется по умолчанию.

Программа для рисования схем sPlan и ее библиотека
Если вам необходим элемент, которого нет в списке, его можно нарисовать, затем добавить в библиотеку. Также есть возможность вставлять посторонние изображения и сохранять их, при необходимости, в библиотеке.
Из других полезных и нужных функций — автонумерация, возможность изменения масштаба элемента при помощи вращения колесика мышки, линейки для более понятного масштабирования. В общем, приятная и полезная вещь.
Micro-Cap
Эта программа кроме построения схемы любого типа (аналогового, цифрового или смешанного) позволяет еще и проанализировать ее работу. Задаются исходные параметры и получаете выходные данные. То есть, можно моделировать работу схемы при различных условиях. Очень полезная возможность, потому, наверное, ее очень любят преподаватели, да и студенты.
В программе Micro-Cap есть встроенные библиотеки, которые можно пополнять при помощи специальной функции. При рисовании электрической схемы продукт в автоматическом режиме разрабатывает уравнения цепи, также проводит расчет в зависимости от проставленных номиналов. При изменении номинала, изменение выходных параметров происходит тут же.

Программа для черчения схем электроснабжения и не только — больше для симуляции их работы
Номиналы элементов могут быть постоянными или переменными, зависящими от различных факторов — температуры, времени, частоты, состояния некоторых элементов схемы и т.д. Все эти варианты просчитываются, результаты выдаются в удобном виде. Если есть в схеме детали, которые изменяют вид или состояние — светодиоды, реле — при симуляции работы, изменяют свои параметры и внешний вид благодаря анимации.
Программа для черчения и анализа схем Micro-Cap платная, в оригинале — англоязычная, но есть и русифицированная версия. Стоимость ее в профессиональном варианте — больше тысячи долларов. Хороша новость в том, что есть и бесплатная версия, как водится с урезанными возможностями (меньшая библиотека, не более 50 элементов в схеме, сниженная скорость работы). Для домашнего пользования вполне подойдет и такой вариант. Приятно еще что она нормально работает с любой системой Windows от Vista и 7 и выше.






























